coding test 238

[파이썬] 등굣길

문제 설명 계속되는 폭우로 일부 지역이 물에 잠겼습니다. 물에 잠기지 않은 지역을 통해 학교를 가려고 합니다. 집에서 학교까지 가는 길은 m x n 크기의 격자모양으로 나타낼 수 있습니다. 아래 그림은 m = 4, n = 3 인 경우입니다. 가장 왼쪽 위, 즉 집이 있는 곳의 좌표는 (1, 1)로 나타내고 가장 오른쪽 아래, 즉 학교가 있는 곳의 좌표는 (m, n)으로 나타냅니다. 격자의 크기 m, n과 물이 잠긴 지역의 좌표를 담은 2차원 배열 puddles이 매개변수로 주어집니다. 오른쪽과 아래쪽으로만 움직여 집에서 학교까지 갈 수 있는 최단경로의 개수를 1,000,000,007로 나눈 나머지를 return 하도록 solution 함수를 작성해주세요. 제한사항 격자의 크기 m, n은 1 이상 100 ..

coding test 2021.04.18

[파이썬, Java] 입국심사

입국심사를 기다리는 사람 수 n, 각 심사관이 한 명을 심사하는데 걸리는 시간이 담긴 배열 times가 매개변수로 주어질 때, 모든 사람이 심사를 받는데 걸리는 시간의 최솟값을 return 하도록 solution 함수를 작성해주세요. 제한사항 입국심사를 기다리는 사람은 1명 이상 1,000,000,000명 이하입니다. 각 심사관이 한 명을 심사하는데 걸리는 시간은 1분 이상 1,000,000,000분 이하입니다. 심사관은 1명 이상 100,000명 이하입니다. 입출력 예 n times return 6 [7, 10] 28 입출력 예 설명 가장 첫 두 사람은 바로 심사를 받으러 갑니다. 7분이 되었을 때, 첫 번째 심사대가 비고 3번째 사람이 심사를 받습니다. 10분이 되었을 때, 두 번째 심사대가 비고 4..

coding test 2021.04.17

[파이썬] 여행경로

문제 설명 주어진 항공권을 모두 이용하여 여행경로를 짜려고 합니다. 항상 "ICN" 공항에서 출발합니다. 항공권 정보가 담긴 2차원 배열 tickets가 매개변수로 주어질 때, 방문하는 공항 경로를 배열에 담아 return 하도록 solution 함수를 작성해주세요. 제한사항 모든 공항은 알파벳 대문자 3글자로 이루어집니다. 주어진 공항 수는 3개 이상 10,000개 이하입니다. tickets의 각 행 [a, b]는 a 공항에서 b 공항으로 가는 항공권이 있다는 의미입니다. 주어진 항공권은 모두 사용해야 합니다. 만일 가능한 경로가 2개 이상일 경우 알파벳 순서가 앞서는 경로를 return 합니다. 모든 도시를 방문할 수 없는 경우는 주어지지 않습니다. 입출력 예 tickets return [["ICN"..

coding test 2021.04.17

[파이썬] 이중우선순위큐

이중 우선순위 큐는 다음 연산을 할 수 있는 자료구조를 말합니다. 명령어 수신 탑(높이) I 숫자 큐에 주어진 숫자를 삽입합니다. D 1 큐에서 최댓값을 삭제합니다. D -1 큐에서 최솟값을 삭제합니다. 이중 우선순위 큐가 할 연산 operations가 매개변수로 주어질 때, 모든 연산을 처리한 후 큐가 비어있으면 [0,0] 비어있지 않으면 [최댓값, 최솟값]을 return 하도록 solution 함수를 구현해주세요. 제한사항 operations는 길이가 1 이상 1,000,000 이하인 문자열 배열입니다. operations의 원소는 큐가 수행할 연산을 나타냅니다. 원소는 “명령어 데이터” 형식으로 주어집니다.- 최댓값/최솟값을 삭제하는 연산에서 최댓값/최솟값이 둘 이상인 경우, 하나만 삭제합니다. 빈..

coding test 2021.04.16

[파이썬, Java] 가장 먼 노드

문제 설명 n개의 노드가 있는 그래프가 있습니다. 각 노드는 1부터 n까지 번호가 적혀있습니다. 1번 노드에서 가장 멀리 떨어진 노드의 갯수를 구하려고 합니다. 가장 멀리 떨어진 노드란 최단경로로 이동했을 때 간선의 개수가 가장 많은 노드들을 의미합니다. 노드의 개수 n, 간선에 대한 정보가 담긴 2차원 배열 vertex가 매개변수로 주어질 때, 1번 노드로부터 가장 멀리 떨어진 노드가 몇 개인지를 return 하도록 solution 함수를 작성해주세요. 제한사항 노드의 개수 n은 2 이상 20,000 이하입니다. 간선은 양방향이며 총 1개 이상 50,000개 이하의 간선이 있습니다. vertex 배열 각 행 [a, b]는 a번 노드와 b번 노드 사이에 간선이 있다는 의미입니다. 입출력 예 n verte..

coding test 2021.04.07

[파이썬] 정수 삼각형

문제 설명 위와 같은 삼각형의 꼭대기에서 바닥까지 이어지는 경로 중, 거쳐간 숫자의 합이 가장 큰 경우를 찾아보려고 합니다. 아래 칸으로 이동할 때는 대각선 방향으로 한 칸 오른쪽 또는 왼쪽으로만 이동 가능합니다. 예를 들어 3에서는 그 아래칸의 8 또는 1로만 이동이 가능합니다. 삼각형의 정보가 담긴 배열 triangle이 매개변수로 주어질 때, 거쳐간 숫자의 최댓값을 return 하도록 solution 함수를 완성하세요. 제한사항 삼각형의 높이는 1 이상 500 이하입니다. 삼각형을 이루고 있는 숫자는 0 이상 9,999 이하의 정수입니다. 입출력 예 triangle result [[7], [3, 8], [8, 1, 0], [2, 7, 4, 4], [4, 5, 2, 6, 5]] 30 🎀 나의 풀이 #..

coding test 2021.04.06

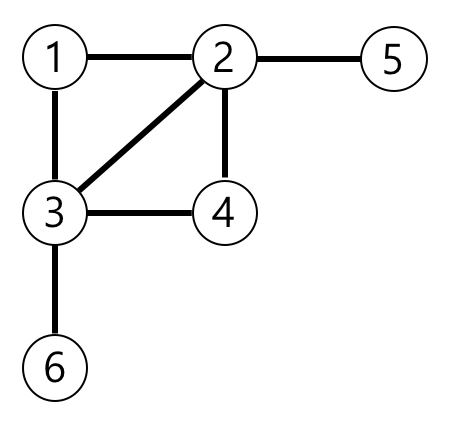
[파이썬] 섬 연결하기

문제 설명 n개의 섬 사이에 다리를 건설하는 비용(costs)이 주어질 때, 최소의 비용으로 모든 섬이 서로 통행 가능하도록 만들 때 필요한 최소 비용을 return 하도록 solution을 완성하세요. 다리를 여러 번 건너더라도, 도달할 수만 있으면 통행 가능하다고 봅니다. 예를 들어 A 섬과 B 섬 사이에 다리가 있고, B 섬과 C 섬 사이에 다리가 있으면 A 섬과 C 섬은 서로 통행 가능합니다. 제한사항 섬의 개수 n은 1 이상 100 이하입니다. costs의 길이는 ((n-1) * n) / 2이하입니다. 임의의 i에 대해, costs[i][0] 와 costs[i] [1]에는 다리가 연결되는 두 섬의 번호가 들어있고, costs[i] [2]에는 이 두 섬을 연결하는 다리를 건설할 때 드는 비용입니다..

coding test 2021.04.06

[파이썬] 단속카메라

문제 설명 고속도로를 이동하는 모든 차량이 고속도로를 이용하면서 단속용 카메라를 한 번은 만나도록 카메라를 설치하려고 합니다. 고속도로를 이동하는 차량의 경로 routes가 매개변수로 주어질 때, 모든 차량이 한 번은 단속용 카메라를 만나도록 하려면 최소 몇 대의 카메라를 설치해야 하는지를 return 하도록 solution 함수를 완성하세요. 제한사항 차량의 대수는 1대 이상 10,000대 이하입니다. routes에는 차량의 이동 경로가 포함되어 있으며 routes[i][0]에는 i번째 차량이 고속도로에 진입한 지점, routes[i][1]에는 i번째 차량이 고속도로에서 나간 지점이 적혀 있습니다. 차량의 진입/진출 지점에 카메라가 설치되어 있어도 카메라를 만난것으로 간주합니다. 차량의 진입 지점, 진..

coding test 2021.04.05

[파이썬] 자물쇠와 열쇠

문제 설명 고고학자인 "튜브"는 고대 유적지에서 보물과 유적이 가득할 것으로 추정되는 비밀의 문을 발견하였습니다. 그런데 문을 열려고 살펴보니 특이한 형태의 자물쇠로 잠겨 있었고 문 앞에는 특이한 형태의 열쇠와 함께 자물쇠를 푸는 방법에 대해 다음과 같이 설명해 주는 종이가 발견되었습니다. 잠겨있는 자물쇠는 격자 한 칸의 크기가 1 x 1인 N x N 크기의 정사각 격자 형태이고 특이한 모양의 열쇠는 M x M 크기인 정사각 격자 형태로 되어 있습니다. 자물쇠에는 홈이 파여 있고 열쇠 또한 홈과 돌기 부분이 있습니다. 열쇠는 회전과 이동이 가능하며 열쇠의 돌기 부분을 자물쇠의 홈 부분에 딱 맞게 채우면 자물쇠가 열리게 되는 구조입니다. 자물쇠 영역을 벗어난 부분에 있는 열쇠의 홈과 돌기는 자물쇠를 여는 ..

coding test 2021.04.02

[파이썬, Java] 추석 트래픽

문제 설명 추석 트래픽 이번 추석에도 시스템 장애가 없는 명절을 보내고 싶은 어피치는 서버를 증설해야 할지 고민이다. 장애 대비용 서버 증설 여부를 결정하기 위해 작년 추석 기간인 9월 15일 로그 데이터를 분석한 후 초당 최대 처리량을 계산해보기로 했다. 초당 최대 처리량은 요청의 응답 완료 여부에 관계없이 임의 시간부터 1초(=1,000밀리초)간 처리하는 요청의 최대 개수를 의미한다. 입력 형식 solution 함수에 전달되는 lines 배열은 N(1 ≦ N ≦ 2,000)개의 로그 문자열로 되어 있으며, 각 로그 문자열마다 요청에 대한 응답완료시간 S와 처리시간 T가 공백으로 구분되어 있다. 응답완료시간 S는 작년 추석인 2016년 9월 15일만 포함하여 고정 길이 2016-09-15 hh:mm:s..

coding test 2021.04.01