coding test 238

[파이썬, Java] 단어 변환

문제 설명 두 개의 단어 begin, target과 단어의 집합 words가 있습니다. 아래와 같은 규칙을 이용하여 begin에서 target으로 변환하는 가장 짧은 변환 과정을 찾으려고 합니다. 1. 한 번에 한 개의 알파벳만 바꿀 수 있습니다. 2. words에 있는 단어로만 변환할 수 있습니다. 예를 들어 begin이 "hit", target가 "cog", words가 ["hot","dot","dog","lot","log","cog"]라면 "hit" -> "hot" -> "dot" -> "dog" -> "cog"와 같이 4단계를 거쳐 변환할 수 있습니다. 두 개의 단어 begin, target과 단어의 집합 words가 매개변수로 주어질 때, 최소 몇 단계의 과정을 거쳐 begin을 target으로..

coding test 2021.03.26

[파이썬] 디스크 컨트롤러

문제 설명 하드디스크는 한 번에 하나의 작업만 수행할 수 있습니다. 디스크 컨트롤러를 구현하는 방법은 여러 가지가 있습니다. 가장 일반적인 방법은 요청이 들어온 순서대로 처리하는 것입니다. 예를들어 0ms 시점에 3ms가 소요되는 A작업 요청 1ms 시점에 9ms가 소요되는 B작업 요청 2ms 시점에 6ms가 소요되는 C작업 요청 와 같은 요청이 들어왔습니다. 이를 그림으로 표현하면 아래와 같습니다. 한 번에 하나의 요청만을 수행할 수 있기 때문에 각각의 작업을 요청받은 순서대로 처리하면 다음과 같이 처리 됩니다. - A: 3ms 시점에 작업 완료 (요청에서 종료까지 : 3ms) - B: 1ms부터 대기하다가, 3ms 시점에 작업을 시작해서 12ms 시점에 작업 완료(요청에서 종료까지 : 11ms) - ..

coding test 2021.03.25

[파이썬, Java] 네트워크

문제 설명 네트워크란 컴퓨터 상호 간에 정보를 교환할 수 있도록 연결된 형태를 의미합니다. 예를 들어, 컴퓨터 A와 컴퓨터 B가 직접적으로 연결되어있고, 컴퓨터 B와 컴퓨터 C가 직접적으로 연결되어 있을 때 컴퓨터 A와 컴퓨터 C도 간접적으로 연결되어 정보를 교환할 수 있습니다. 따라서 컴퓨터 A, B, C는 모두 같은 네트워크 상에 있다고 할 수 있습니다. 컴퓨터의 개수 n, 연결에 대한 정보가 담긴 2차원 배열 computers가 매개변수로 주어질 때, 네트워크의 개수를 return 하도록 solution 함수를 작성하시오. 제한사항 컴퓨터의 개수 n은 1 이상 200 이하인 자연수입니다. 각 컴퓨터는 0부터 n-1인 정수로 표현합니다. i번 컴퓨터와 j번 컴퓨터가 연결되어 있으면 computers[..

coding test 2021.03.24

[파이썬] 단어 퍼즐

문제 설명 단어 퍼즐은 주어진 단어 조각들을 이용해서 주어진 문장을 완성하는 퍼즐입니다. 이때, 주어진 각 단어 조각들은 각각 무한개씩 있다고 가정합니다. 예를 들어 주어진 단어 조각이 [“ba”, “na”, “n”, “a”]인 경우 "ba", "na", "n", "a" 단어 조각이 각각 무한개씩 있습니다. 이때, 만들어야 하는 문장이 “banana”라면 “ba”, “na”, “n”, “a”의 4개를 사용하여 문장을 완성할 수 있지만, “ba”, “na”, “na”의 3개만을 사용해도 “banana”를 완성할 수 있습니다. 사용 가능한 단어 조각들을 담고 있는 배열 strs와 완성해야 하는 문자열 t가 매개변수로 주어질 때, 주어진 문장을 완성하기 위해 사용해야 하는 단어조각 개수의 최솟값을 return..

coding test 2021.03.20

[파이썬] 스티커 모으기

문제 설명 N개의 스티커가 원형으로 연결되어 있습니다. 다음 그림은 N = 8인 경우의 예시입니다. 원형으로 연결된 스티커에서 몇 장의 스티커를 뜯어내어 뜯어낸 스티커에 적힌 숫자의 합이 최대가 되도록 하고 싶습니다. 단 스티커 한 장을 뜯어내면 양쪽으로 인접해있는 스티커는 찢어져서 사용할 수 없게 됩니다. 예를 들어 위 그림에서 14가 적힌 스티커를 뜯으면 인접해있는 10, 6이 적힌 스티커는 사용할 수 없습니다. 스티커에 적힌 숫자가 배열 형태로 주어질 때, 스티커를 뜯어내어 얻을 수 있는 숫자의 합의 최댓값을 return 하는 solution 함수를 완성해 주세요. 원형의 스티커 모양을 위해 배열의 첫 번째 원소와 마지막 원소가 서로 연결되어 있다고 간주합니다. 제한 사항 sticker는 원형으로 ..

coding test 2021.03.20

[파이썬] 땅따먹기

문제 설명 땅따먹기 게임을 하려고 합니다. 땅따먹기 게임의 땅(land)은 총 N행 4열로 이루어져 있고, 모든 칸에는 점수가 쓰여 있습니다. 1행부터 땅을 밟으며 한 행씩 내려올 때, 각 행의 4칸 중 한 칸만 밟으면서 내려와야 합니다. 단, 땅따먹기 게임에는 한 행씩 내려올 때, 같은 열을 연속해서 밟을 수 없는 특수 규칙이 있습니다. 예를 들면, | 1 | 2 | 3 | 5 | | 5 | 6 | 7 | 8 | | 4 | 3 | 2 | 1 | 로 땅이 주어졌다면, 1행에서 네번째 칸 (5)를 밟았으면, 2행의 네번째 칸 (8)은 밟을 수 없습니다. 마지막 행까지 모두 내려왔을 때, 얻을 수 있는 점수의 최대값을 return하는 solution 함수를 완성해 주세요. 위 예의 경우, 1행의 네번째 칸 ..

coding test 2021.03.19

[파이썬] 자릿수 더하기

문제 설명 자연수 N이 주어지면, N의 각 자릿수의 합을 구해서 return 하는 solution 함수를 만들어 주세요. 예를들어 N = 123이면 1 + 2 + 3 = 6을 return 하면 됩니다. 제한사항 N의 범위 : 100,000,000 이하의 자연수 입출력 예 N answer 123 6 987 24 입출력 예 설명 입출력 예 #1 문제의 예시와 같습니다. 입출력 예 #2 9 + 8 + 7 = 24이므로 24를 return 하면 됩니다. 🍤 나의 풀이 def solution(n): N=[int(i) for i in str(n)] return sum(N) 숫자 n을 문자열로 바꾸고 한 자리씩 int로 리스트에 저장함. 리스트의 sum을 반환. def solution(n): answer=0 whil..

coding test 2021.03.19

[파이썬] N으로 표현

문제 설명 아래와 같이 5와 사칙연산만으로 12를 표현할 수 있습니다. 12 = 5 + 5 + (5 / 5) + (5 / 5) 12 = 55 / 5 + 5 / 5 12 = (55 + 5) / 5 5를 사용한 횟수는 각각 6,5,4 입니다. 그리고 이중 가장 작은 경우는 4입니다. 이처럼 숫자 N과 number가 주어질 때, N과 사칙연산만 사용해서 표현 할 수 있는 방법 중 N 사용횟수의 최솟값을 return 하도록 solution 함수를 작성하세요. 제한사항 N은 1 이상 9 이하입니다. number는 1 이상 32,000 이하입니다. 수식에는 괄호와 사칙연산만 가능하며 나누기 연산에서 나머지는 무시합니다. 최솟값이 8보다 크면 -1을 return 합니다. 입출력 예 N number return 5 1..

coding test 2021.03.19

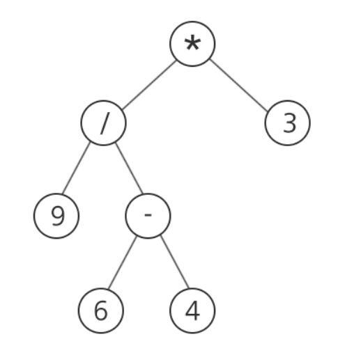
[파이썬] 1232. 사칙연산

※ SW Expert 아카데미의 문제를 무단 복제하는 것을 금지합니다. 사칙연산으로 구성되어 있는 식은 이진 트리로 표현할 수 있다. 아래는 식 “(9/(6-4))*3”을 이진 트리로 표현한 것이다. 임의의 정점에 연산자가 있으면 해당 연산자의 왼쪽 서브 트리의 결과와 오른쪽 서브 트리의 결과를 사용해서 해당 연산자를 적용한다. 사칙연산 "+, -, *, /"와 양의 정수로만 구성된 임의의 이진트리가 주어질 때, 이를 계산한 결과를 출력하는 프로그램을 작성하라. 단, 중간 과정에서의 연산은 실수 연산으로 하되, 최종 결과값이 정수로 떨어지지 않으면 정수부만 출력한다. 위의 예에서는 최종 결과값이 13.5이므로 13을 출력하면 된다. [제약 사항] 정점의 총 수 N은 1

coding test 2021.03.18

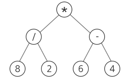
[파이썬] 1233. 사칙연산 유효성 검사

※ SW Expert 아카데미의 문제를 무단 복제하는 것을 금지합니다. 사칙연산으로 구성되어 있는 식은 이진 트리로 표현할 수 있다. 아래는 식 “(8/2)*(6-4)”을 이진 트리로 표현한 것이다. 임의의 정점에 연산자가 있으면 해당 연산자의 왼쪽 서브 트리의 결과와 오른쪽 서브 트리의 결과를 사용해서 해당 연산자를 적용한다. 사칙연산 “+, -, *, /”와 양의 정수로만 구성된 임의의 이진 트리가 주어질 때, 이 식의 유효성을 검사하는 프로그램을 작성하여라. 여기서 말하는 유효성이란, 사칙연산 “+, -, *, /”와 양의 정수로 구성된 임의의 식이 적절한 식인지를 확인하는 것으로, 계산이 가능하다면 “1”, 계산이 불가능할 경우 “0”을 출력한다. (단, 계산이 가능한지가 아닌 유효성을 검사하는 ..

coding test 2021.03.17