coding test 238

[파이썬] 5099. 피자 굽기

※ SW Expert 아카데미의 문제를 무단 복제하는 것을 금지합니다. N개의 피자를 동시에 구울 수 있는 화덕이 있다. 피자는 치즈가 모두 녹으면 화덕에서 꺼내며, 치즈의 양은 피자마다 다르다. 1번부터 M번까지 M개의 피자를 순서대로 화덕에 넣을 때, 치즈의 양에 따라 녹는 시간이 다르기 때문에 꺼내지는 순서는 바뀔 수 있다. 주어진 조건에 따라 피자를 구울 때, 화덕에 가장 마지막까지 남아있는 피자 번호를 알아내는 프로그램을 작성하시오. - 피자는 1번위치에서 넣거나 뺄 수 있다. - 화덕 내부의 피자받침은 천천히 회전해서 1번에서 잠시 꺼내 치즈를 확인하고 다시 같은 자리에 넣을 수 있다. - M개의 피자에 처음 뿌려진 치즈의 양이 주어지고, 화덕을 한 바퀴 돌 때 녹지않은 치즈의 양은 반으로 줄..

coding test 2021.01.26

[파이썬] 5105. 미로의 거리

※ SW Expert 아카데미의 문제를 무단 복제하는 것을 금지합니다. NxN 크기의 미로에서 출발지 목적지가 주어진다. 이때 최소 몇 개의 칸을 지나면 출발지에서 도착지에 다다를 수 있는지 알아내는 프로그램을 작성하시오. 경로가 있는 경우 출발에서 도착까지 가는데 지나야 하는 최소한의 칸 수를, 경로가 없는 경우 0을 출력한다. 다음은 5x5 미로의 예이다. 1은 벽, 0은 통로를 나타내며 미로 밖으로 벗어나서는 안된다. 13101 10101 10101 10101 10021 마지막 줄의 2에서 출발해서 0인 통로를 따라 이동하면 맨 윗줄의 3에 5개의 칸을 지나 도착할 수 있다. [입력] 첫 줄에 테스트 케이스 개수 T가 주어진다. 1

coding test 2021.01.25

[파이썬] 4881. 배열 최소 합

swexpertacademy.com/main/learn/course/lectureProblemViewer.do SW Expert Academy SW 프로그래밍 역량 강화에 도움이 되는 다양한 학습 컨텐츠를 확인하세요! swexpertacademy.com ※ SW Expert 아카데미의 문제를 무단 복제하는 것을 금지합니다. NxN 배열에 숫자가 들어있다. 한 줄에서 하나씩 N개의 숫자를 골라 합이 최소가 되도록 하려고 한다. 단, 세로로 같은 줄에서 두 개 이상의 숫자를 고를 수 없다. 조건에 맞게 숫자를 골랐을 때의 최소 합을 출력하는 프로그램을 만드시오. 예를 들어 다음과 같이 배열이 주어진다. 2 1 2 5 8 5 7 2 2 이경우 1, 5, 2를 고르면 합이 8로 최소가 된다. [입력] 첫 줄에 ..

coding test 2021.01.20

[파이썬] 4880. 토너먼트 카드게임

swexpertacademy.com/main/learn/course/lectureProblemViewer.do SW Expert Academy SW 프로그래밍 역량 강화에 도움이 되는 다양한 학습 컨텐츠를 확인하세요! swexpertacademy.com ※ SW Expert 아카데미의 문제를 무단 복제하는 것을 금지합니다. 사다리 게임이 지겨워진 알고리즘 반 학생들이 새로운 게임을 만들었다. 가위바위보가 그려진 카드를 이용해 토너먼트로 한 명을 뽑는 것이다. 게임 룰은 다음과 같다. 1번부터 N번까지 N명의 학생이 N장의 카드를 나눠 갖는다. 전체를 두 개의 그룹으로 나누고, 그룹의 승자끼리 카드를 비교해서 이긴 사람이 최종 승자가 된다. 그룹의 승자는 그룹 내부를 다시 두 그룹으로 나눠 뽑는데, i번부..

coding test 2021.01.18

[파이썬] 4875. 미로

swexpertacademy.com/main/learn/course/lectureProblemViewer.do SW Expert Academy SW 프로그래밍 역량 강화에 도움이 되는 다양한 학습 컨텐츠를 확인하세요! swexpertacademy.com ※ SW Expert 아카데미의 문제를 무단 복제하는 것을 금지합니다. NxN 크기의 미로에서 출발지에서 목적지에 도착하는 경로가 존재하는지 확인하는 프로그램을 작성하시오. 도착할 수 있으면 1, 아니면 0을 출력한다. 주어진 미로 밖으로는 나갈 수 없다. 다음은 5x5 미로의 예이다. 13101 10101 10101 10101 10021 마지막 줄의 2에서 출발해서 0인 통로를 따라 이동하면 맨 윗줄의 3에 도착할 수 있는지 확인하면 된다. [입력] 첫..

coding test 2021.01.15

[파이썬] 4874. Forth

출처 : swexpertacademy.com/main/learn/course/lectureProblemViewer.do SW Expert Academy SW 프로그래밍 역량 강화에 도움이 되는 다양한 학습 컨텐츠를 확인하세요! swexpertacademy.com ※ SW Expert 아카데미의 문제를 무단 복제하는 것을 금지합니다. Forth라는 컴퓨터 언어는 스택 연산을 기반으로 하고 있어 후위 표기법을 사용한다. 예를 들어 3+4는 다음과 같이 표기한다. 3 4 + . Forth에서는 동작은 다음과 같다. 숫자는 스택에 넣는다. 연산자를 만나면 스택의 숫자 두 개를 꺼내 더하고 결과를 다시 스택에 넣는다. ‘.’은 스택에서 숫자를 꺼내 출력한다. Forth 코드의 연산 결과를 출력하는 프로그램을 만드..

coding test 2021.01.14

[파이썬] 4873. 반복문자 지우기

swexpertacademy.com/main/learn/course/lectureProblemViewer.do SW Expert Academy SW 프로그래밍 역량 강화에 도움이 되는 다양한 학습 컨텐츠를 확인하세요! swexpertacademy.com ※ SW Expert 아카데미의 문제를 무단 복제하는 것을 금지합니다. 문자열 s에서 반복된 문자를 지우려고 한다. 지워진 부분은 다시 앞뒤를 연결하는데, 만약 연결에 의해 또 반복문자가 생기면 이부분을 다시 지운다. 반복문자를 지운 후 남은 문자열의 길이를 출력 하시오. 남은 문자열이 없으면 0을 출력한다. 다음은 CAAABBA에서 반복문자를 지우는 경우의 예이다. CAAABBA 연속 문자 AA를 지우고 C와 A를 잇는다. CABBA 연속 문자 BB를 ..

coding test 2021.01.13

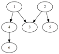
[파이썬] 4871. 그래프 경로

swexpertacademy.com/main/learn/course/lectureProblemViewer.do SW Expert Academy SW 프로그래밍 역량 강화에 도움이 되는 다양한 학습 컨텐츠를 확인하세요! swexpertacademy.com ※ SW Expert 아카데미의 문제를 무단 복제하는 것을 금지합니다. V개 이내의 노드를 E개의 간선으로 연결한 방향성 그래프에 대한 정보가 주어질 때, 특정한 두 개의 노드에 경로가 존재하는지 확인하는 프로그램을 만드시오. 두 개의 노드에 대해 경로가 있으면 1, 없으면 0을 출력한다. 예를 들어 다음과 같은 그래프에서 1에서 6으로 가는 경로를 찾는 경우, 경로가 존재하므로 1을 출력한다. 노드번호는 1번부터 존재하며, V개의 노드 중에는 간선으로 ..

coding test 2021.01.13

[파이썬] 4866. 괄호검사

swexpertacademy.com/main/learn/course/lectureProblemViewer.do SW Expert Academy SW 프로그래밍 역량 강화에 도움이 되는 다양한 학습 컨텐츠를 확인하세요! swexpertacademy.com ※ SW Expert 아카데미의 문제를 무단 복제하는 것을 금지합니다. 주어진 입력에서 괄호 {}, ()가 제대로 짝을 이뤘는지 검사하는 프로그램을 만드시오. 예를 들어 {( )}는 제대로 된 짝이지만, {( })는 제대로 된 짝이 아니다. 입력은 한 줄의 파이썬 코드일수도 있고, 괄호만 주어질 수도 있다. 정상적으로 짝을 이룬 경우 1, 그렇지 않으면 0을 출력한다. print(‘{‘) 같은 경우는 입력으로 주어지지 않으므로 고려하지 않아도 된다. [입..

coding test 2021.01.12